NCC 2022 Volume One - Building Code of Australia Class 2 to 9 buildings
Search the National Construction Code editions
J2
Part J2 Energy efficiencyThis Part sets out the application of the Deemed-to-Satisfy Provisions in Parts J3 to J9.
From 1 May 2023 to 30 September 2023 Section J of NCC 2019 Volume One Amendment 1 may apply instead of Section J of NCC 2022 Volume One. From 1 October 2023 Section J of NCC 2022 Volume One applies.
In Tasmania, for a Class 2 building and Class 4 part of a building, Section J is replaced with Section J of BCA 2019 Amendment 1.
To clarify that J1P1 to J1P4 will be satisfied if compliance is achieved with Parts J2 to J9.
Where a solution is proposed to comply with the Deemed-to-Satisfy Provisions, J2D1 clarifies how compliance with Parts J2 to J9 achieves compliance with J1P1 to J1P4.
Where a Performance Solution is proposed, the relevant Performance Requirements must be determined in accordance with A2G2(3) and A2G4(3) as applicable. (See commentary on Part A2).
The Deemed-to-Satisfy Provisions, including those related to house energy rating software, described are limited to the most common forms of construction and the simplest forms of buildings. It is expected that the more innovative construction techniques and the more complex buildings will be designed and assessed using a performance approach.
A major consideration in developing the measures was the likelihood of a building being heated or cooled by an air- conditioning system, and whether the Deemed-to-Satisfy Provisions should assume this to be the case, or only apply the provisions if a heating or cooling system is installed. It is recognised that most Class 3, 5, 6 and 9 buildings and some Class 7 and 8 buildings are heated or cooled, and this is the basis of the provisions. Consideration was also given to the fact that although the first owner may be prepared to ‘manage’ their building in the appropriate manner, the next owner or tenant may not, and instead may install air-conditioning.
Because of the performance-based structure of the NCC, a Performance Solution may be proposed instead of the Deemed-to-Satisfy Provisions.
To clarify which provisions of Section J apply to dwellings and which provisions apply to other buildings.
J2D2(1) explains which provisions need to be complied with for a Class 2 to 9 building (excluding sole-occupancy unit of a Class 2 building or a Class 4 part of a building) to comply with J1P1.
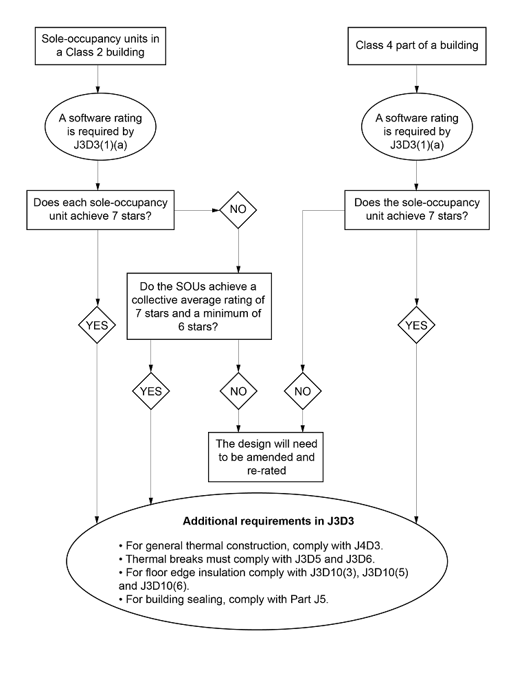
J2D2(2) explains which provisions need to be complied with for a sole-occupancy unit of a Class 2 building or a Class 4 part to comply with J1P2 and J1P3. This includes compliance by both DtS elemental provisions and by using house energy rating software.
J2D2(3) explains which provisions need to be complied with for a Class 2 to 9 building to demonstrate compliance with J1P4.
The means of compliance is explained in Figure J2D2.