NCC 2022 Volume One - Building Code of Australia Class 2 to 9 buildings
Search the National Construction Code editions
F4
Part F4 Sanitary and other facilitiesThis Part focuses on reducing risk of illness and loss of amenity due to inadequate toilets, bathrooms and laundries, on ensuring occupants in residential buildings have access to a kitchen, and on microbial control in air-conditioning and heated water systems.
The Objective of this Part is to—
The BCA requires sanitary facilities to be installed at a rate based on the number of people in a building. If insufficient, unacceptable queuing may result.
Loss of amenity can occur if users are not providedwith sufficient privacy.
Adequate laundry and cooking facilities should be available to health-care buildings and early-childhood centres, as well as residents of Class 2 buildings and Class 4 parts of a building. The BCA requires sanitary facilities to be installed at a rate based on the number of people in a building. If insufficient, unacceptable queuing may result. Loss of amenity can occur if users are not provided with sufficient privacy. Adequate laundry and cooking facilities should be available to health- care buildings and early-childhood centres, as well as residents of Class 2 buildings and Class 4 parts of a building.
A building is to be provided with—
Every building is to be equipped with suitable sanitary facilities along with space and resources for personal hygiene. Additionally, adequate systems to prevent contamination of hot, warm, and cooling water systems are to be provided. The aim is to ensure a hygienic environment and safe water supply within the building.
A building is to be provided with—
F4F2 only applies to—
Class 9a health-care buildings, class 9b early-childhood centres, Class 2 and 9c buildings and Class 4 parts of a building must be provided with laundry facilities. Under the F4F2 Application provision, F4F2 does not apply to any other classification of buildings. Class 2 and 9c buildings and Class 4 parts of a building are required to have laundry facilities and means to dispose of waste water because occupation is generally of a permanent nature. This is not the case in other buildings. For example, a hotel, motel or boarding school may have its own laundry facilities, or have arrangement with a commercial laundry. Sole-occupancy units in Class 3 buildings are not occupied by the same people for extended periods of time, so they are not required to be provided with laundry facilities or means to dispose of waste water.
A building is to be provided with—
F4F3 only applies to—
Class 9a health-care buildings, class 9b early-childhood centres, Class 2 and 9c buildingsand Class 4 parts of a building must be provided with cooking facilities. Under the F4F3 Application provision, F4F3 does not apply to any other classification of buildings.
As for laundry facilities, Class 2 and 9c buildings and Class 4 parts of a building are required to have cooking facilities because their occupation is generally of a permanent nature. Cooking facilities are also required in health-care buildings and early-childhood centres because the occupants of these places may require specific types of food not easily available from outside (e.g. special dietary needs).
Cooking facilities are not required in other classifications of buildings. For example, a hotel, motel or boarding school may have its own cooking facilities, have an arrangement with a commercial caterer, or choose to have no cooking facilities at all. It is assumed that the same people do not occupy sole-occupancy units in Class 3 buildings for extended periods of time, so they are not required to be provided with cooking facilities.
A sanitary compartment is to have sufficient space or other means to permit an unconscious occupant to be removed from the compartment.
F4F4 specifies that a sanitary compartment must have enough space or other measures to enable the removal of an unconscious occupant. This requirement aims to facilitate response to emergency situations.
Suitable sanitary facilities for personal hygiene must be provided in a convenient location within or associated with a building, to the degree necessary, appropriate to—
F4P1 recognises that the number,type and location of sanitary facilities are dependent on:
Laundering facilities or space for laundering facilities and the means for the sanitary disposal of waste water must be provided in a convenient location within or associated with a building appropriate to the function or use of the building.
F4P2 only applies to—
Laundering facilities or space for laundering facilities and the means for the sanitary disposal of waste water must be provided in a convenient location within or associated with a building appropriate to the function or use of the building.
F4P2 only applies to—
Class 9a health-care buildings, class 9b early-childhood centres, Class 2 and 9c buildings and Class 4 parts of a building must be provided with means to dispose of waste water and either:
A building’s function or use will determine the appropriate number and location of the laundry facilities or space, and the means to dispose of waste water.
For the purposes of F4P2, waste water includes water that is soiled as a result of clothes washing, mopping floors, and other cleaning processes.
A facility must be provided which includes—
F4P3 only applies to—
Class 9a health-care buildings, class 9b early-childhood centres, Class 2 and 9c buildingsand Class 4 parts of a building must be provided with adequate cooking facilities. This means:
Suitable means must be provided in a building containing wards or bedrooms to facilitate the emptying of sewage or dirty water from containers.
F4P4 only applies to a Class 9a or 9c building.
Class 9a and 9c buildingswith wards or bedrooms must have facilities for emptying bedpansand the like, such as a slop hopper.
A sanitary compartment must be constructed with sufficient space or other means to permit an unconscious occupant to be removed from the compartment.
Sanitary compartments are tobe large enough orhave another suitable means that enables the removal of anunconscious occupant.
Hot water, warm water and cooling water systems installed in a building must control the accumulation of harmful levels of micro-organisms.
F4P6 does not apply to a system serving only a single sole-occupancy unit in a Class 2 or 3 building or Class 4 part of a building.
Buildings must have hot water, warm water and cooling water installations that minimise the risk of major disease outbreak caused by the harmful levels of micro-organisms.
This Performance Requirement does not apply to a system serving only a single sole-occupancy unit in a Class 2 or 3 building or Class 4 part of a building.
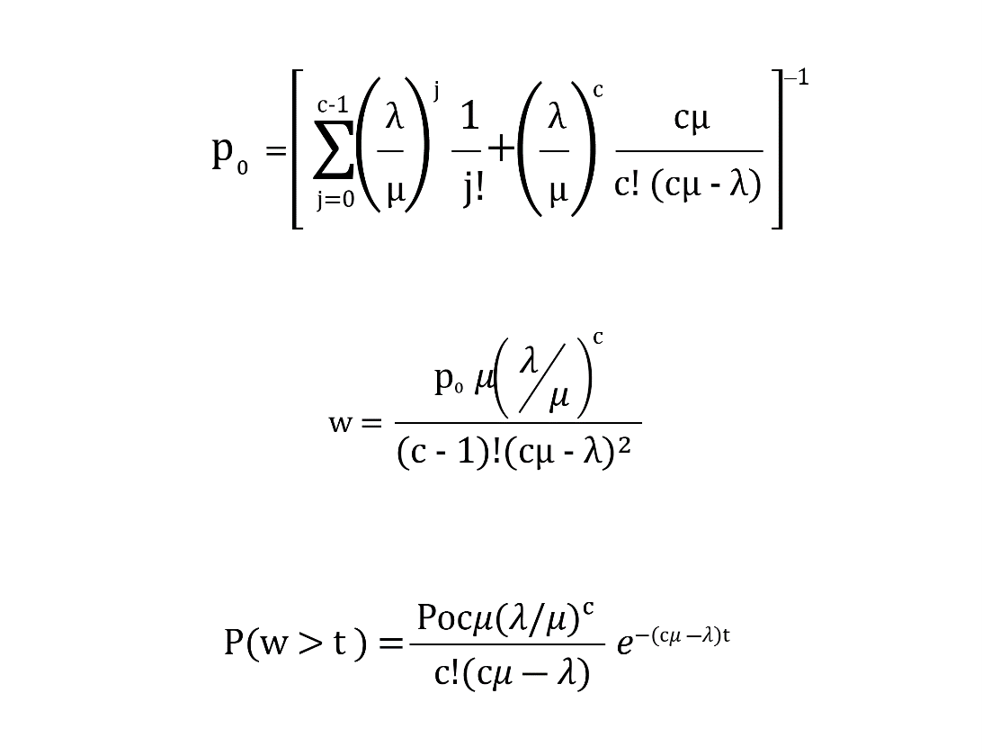
F4V1 enables the use of queuing modelling to demonstrate that the occupant waiting time for sanitary facilities is at least equivalent to the waiting time predicted using the respective Deemed-to-Satisfy Provisions.
Overview of the modelling process
Sanitary facilities and their users are an example of a queuing system. In the usual terminology, a queuing system is made up of one or more servers and a number of customers to be served. In the case of sanitary facilities the servers are the fixtures (closet pans, urinals,wash basins) and the customers are the users of each type of fixture. Any one building may have a number (up to five) more or less separate and independent queuing systems:
A queuing system is definedby—
It is assumed that the population of customers is effectively infinite, except for cases where there is a pronounced interval effect, as in the case of theatre intermission, and that there is no physical limit on queue size (which may arise due to space limitations for example), but there may be some avoidance behaviour on the part of users if queue length (and expected waiting time) become excessive.
The analysis of queuing systems can be complex. Under certain assumptions, closed form expressions can be derived for the key parameters that describe the performance of a queuing system. The particular type of queuing system which is most straightforward to analyse is based on the assumption that the arrival times can be described by a Poisson distribution. A Poisson distribution is fully defined by a single parameter, denoted by the Greek letter λ, which turns out to be the arrival rate (number of arrivals per unit time).
The Poisson distribution has two properties that render its use attractive. Firstly it is memoryless i.e. the probability of an arrival at anytime is independent of the past history of the system (for example, whether there has been another recent arrival). The second property is that the inter-arrival times follow the geometric distribution with a mean arrival time of 1/λ. The Poisson distribution is the only process that has these properties.
Occupancy times in a simple queuing system are also assumed to have the geometric distribution with mean value denoted by 1/μ. Thus the servers (times when users finish with a fixture) is also a Poisson process with parameter μ. Once again, this has the memoryless property (the probability of a user finishing with a fixture is independent of the occupation time up to that point).
The queuing system described above is often referred to as a M/M/c system where c denotes the number of fixtures of a certain kind and for each sex (the use of M signifies memoryless).
Where the queuing system has been allowed to settle into a steady state a full analysis is possible and the following parameters can be determined:
The waiting time cumulative distribution function: this provides an estimate of the proportion of occurrences when a user arriving at a facility will need to wait more than a specified time (or the probability that a user will have to wait more than a specified time).
To clarify that complying with Part F4 and, for public transport buildings Part I2, and for farm sheds Part I3, will satisfy the requirements of F4P1 to F4P6.
To specify the minimum acceptable sanitary, bathing, laundry and cooking facilities required in Class 2 buildings, Class 3 buildings (for residents only), Class 9c buildings (for residents only) and Class 4 parts of a building.
F4D2 lists the type and number of facilities required in Class 2 buildings, Class 3 buildings (for residents only), Class 9c buildings (for residents only) and Class 4 parts of a building. The reason that residential care buildings are included is that they are regarded as residential buildings because they are the residents’ home. All the listed facilities are to be provided separately.
For laundry facilities—Class 2 buildings and Class 4 parts of a building must be provided with a means to wash clothes. In Class 2 buildings, laundry facilities must be provided as follows:
Examples
In a Class 2 building or Class 4 part of a building, a washbasin and a washtub are required. Although the placing of laundry facilities in a bathroom is permitted, a separate washbasin and washtub are still required.
Class 4 parts of a building must be provided with at least one washtub and at least one space for a washing machine.
A washtub provided to a Class 2 building or Class 4 part of a building provides the necessary means to dispose of waste water as required by F4P2.
For drying clothes—Class 2 buildings and Class 4 parts of a building must be provided with some means to dry clothes. In Class 2 buildings, clothes-drying facilities must be provided as follows:
Class 4 parts of a building must be provided with at least one clothesline or hoist; or at least one space for a drying cabinet or appliance.
For food—in Class 2 buildings (in each sole-occupancy unit) and Class 4 parts of a building, the following must be provided:
For bathing and toiletry in residences—at least either one bath or shower, and at least one closet pan and one washbasin must be provided:
For Class 3 building facilities—the patrons’ facilities may be groupedtogether and do not need to be in the building where sleeping accommodation is provided.
Examples
An example of grouped facilities could be sanitary facilities located in a freestanding ablution block that services several accommodation units.
The facilities for a Class 3 building (other than a residential care building) contained in F4D2(2) are those for the residential portion of the building only. Facilities for employees in Class 3 buildings are contained in F4D4.
For Class 9c buildings—the facilities listed in F4D2(5)(a) apply to the residential portion of Class 9c buildings only. The kitchen and laundry facilities listed in F4D2(5)(b) need not be locatedin the resident use area.The clinical hand washing basin listed in F4D2(5)(b)(iii) is intended for use by staff, etc. and therefore would be best placed in the resident use area. Sanitary facilities for employees in Class 9c buildings are contained in the general part of Table F4D4a. They can be utilised by the occupants when required.
To provide a method for calculating the number of occupants and facilities for the purposes of Part F4.
If the number of people who will occupy a building is known, it should be used. However, in the absence of more accurate information, D2D18 must be used. D2D18 is used in several Parts of the BCA, such as in calculating minimum exit widths, as well as the number of sanitary and other facilities. D2D18 does not restrict the number of occupants using a building or enforce any building use or licensing requirements. Refer also to comments on D2D18.
As specified in D2D18(b), if the building is an assembly building or room, its fixed seating provisions give an indication of capacity.
Any other suitable means, as specified in D2D18(c), may include a statement from the building owner as to the number of occupants where there is limited public access.
Examples
An alternative means of assessing the number of occupants may be appropriate in the following case.
A specific restaurant may have fixed tables, booths, dining alcoves and architectural features which occupy a significant proportion of the floor space, so the actual number of patrons able to be accommodated may be much less than the number calculated using the one person for every square metre of floor area in D2D18.
In such a case, it may be appropriate to count the number of seats available for use by patrons or some other method. However, due allowance would need to be made for the employees, as well as the potential for alternative seating layouts which could then increase the number of people in the restaurant.
For consideration of gender—the number of sanitary facilities should be calculated on the basis that the population of males and females in a building will usually be about equal. Where a building will be occupied predominantly by one sex, the proportion of sanitary facilities can be adjusted accordingly.
Examples
It may be appropriate to vary the proportion of female and male sanitary facilities in:
For unisex facilities—under F4D3(3), a required unisex facility for people with a disability can be counted as a facility for both males and females. It should be noted that F4D3(3) does not applyto unisex facilities for people with a disability that are provided in addition to the number required by the NCC.
F4D3(4) defines the meaning of ‘unisex facility’ for the purposes of Part F4. It is important to note that a sanitary compartment suitable for a person with an ambulant disability is not a unisex facility and cannot be counted as a facility for both males and females under F4D3(3).
Examples
If there is a requirement for a toilet block to contain 10 closet pans for males and 10 closet pans for females (a total of 20 closet pans), they may be provided as a total of 19 closet pans, i.e.:
9 male;
9 female; and
1 unisex facility for people with a disability.
A similar approach can be used for the number of washbasins required.
In another case where there is a requirement for 1 closet pan for males and 1 closet pan for females, providing a single unisex facility may satisfy this requirement. However, if a urinal is also required it cannot be in the unisex facility; it must be in an area reserved for use by males.
| User group | Facility type | Design occupancy | Number |
|---|---|---|---|
| Male employees | Closet pans | 1 - 20 | 1 |
| >20 | Add 1 per 20 | ||
| Urinals | 1 - 10 | 0 | |
| 11 - 25 | 1 | ||
| 26 - 50 | 2 | ||
| >50 | Add 1 per 50 | ||
| Washbasins | 1 - 30 | 1 | |
| >30 | Add 1 per 30 | ||
| Female employees | Closet pans | 1 - 15 | 1 |
| >15 | Add 1 per 15 | ||
| Washbasins | 1 - 30 | 1 | |
| >30 | Add 1 per 30 |
| User group | Facility type | Design occupancy | Number |
|---|---|---|---|
| Male employees | Closet pans | 1 - 20 | 1 |
| >20 | Add 1 per 20 | ||
| Urinals | 1 - 10 | 0 | |
| 11 - 25 | 1 | ||
| 26 - 50 | 2 | ||
| >50 | Add 1 per 50 | ||
| Washbasins | 1 - 20 | 1 | |
| >20 | Add 1 per 20 | ||
| Female employees | Closet pans | 1 - 15 | 1 |
| >15 | Add 1 per 15 | ||
| Washbasins | 1 - 20 | 1 | |
| >20 | Add 1 per 20 |
Sanitary facilities need not be provided for a Class 8 electricity network substation.
| User group | Facility type | Design occupancy | Number |
|---|---|---|---|
| Male patrons | Closet pans | 1 - 1200 | 1 |
| >1200 | Add 1 per 1200 | ||
| Urinals | 1 - 600 | 1 | |
| >600 | Add 1 per 1200 | ||
| Washbasins | 1 - 600 | 1 | |
| >600 | Add 1 per 1200 | ||
| Female patrons | Closet pans | 1 - 300 | 1 |
| 301 - 600 | 2 | ||
| >600 | Add 1 per 1200 | ||
| Washbasins | 1-600 | 1 | |
| 601 - 1200 | 2 | ||
| >1200 | Add 1 per 1200 |
Sanitary facilities need not be provided for patrons if the total number of persons accommodated in the building is not more than 600.
| User group | Facility type | Design occupancy | Number |
|---|---|---|---|
| Male patrons | Closet pans | 1 - 100 | 1 |
| 101 - 300 | 2 | ||
| >300 | Add 1 per 200 | ||
| Urinals | 1 - 50 | 1 | |
| 51 - 100 | 2 | ||
| 101 - 150 | 3 | ||
| 151 - 200 | 4 | ||
| 201 - 250 | 5 | ||
| >250 | Add 1 per 100 | ||
| Washbasins | 1 - 50 | 1 | |
| 51 - 200 | 2 | ||
| >200 | Add 1 per 200 | ||
| Female patrons | Closet pans | 1 - 25 | 1 |
| 26 - 50 | 2 | ||
| 51 - 100 | 3 | ||
| 101 - 150 | 4 | ||
| 151 - 200 | 5 | ||
| 201 - 250 | 6 | ||
| >250 | Add 1 per 100 | ||
| Washbasins | 1 - 50 | 1 | |
| 51 - 150 | 2 | ||
| >150 | Add 1 per 200 |
Sanitary facilities need not be provided for patrons if the total number of persons accommodated in the building is not more than 20.
| User group | Facility type | Design occupancy | Number |
|---|---|---|---|
| Male patrons | Closet pans | 1 - 100 | 1 |
| 101 - 300 | 2 | ||
| >300 | Add 1 per 200 | ||
| Urinals | 1 - 50 | 1 | |
| 51 - 100 | 2 | ||
| 101 - 150 | 3 | ||
| 151 - 200 | 4 | ||
| 201 - 250 | 5 | ||
| >250 | Add 1 per 100 | ||
| Washbasins | 1 - 50 | 1 | |
| 51 - 200 | 2 | ||
| >200 | Add 1 per 200 | ||
| Female patrons | Closet pans | 1 - 25 | 1 |
| 26 - 50 | 2 | ||
| 51 - 100 | 3 | ||
| 101 - 150 | 4 | ||
| 151 - 200 | 5 | ||
| 201 - 250 | 6 | ||
| >250 | Add 1 per 100 | ||
| Washbasins | 1 - 50 | 1 | |
| 51 - 150 | 2 | ||
| >150 | Add 1 per 200 |
| User group | Facility type | Design occupancy | Number |
|---|---|---|---|
| Male patients | Closet pans | 1 - 16 | 2 |
| >16 | Add 1 per 8 | ||
| Washbasins | 1 - 8 | 1 | |
| >8 | Add 1 per 8 | ||
| Female patients | Closet pans | 1 - 16 | 2 |
| >16 | Add 1 per 8 | ||
| Washbasins | 1 - 8 | 1 | |
| >8 | Add 1 per 8 |
Urinals are not required for a Class 9a health-care building.
| User group | Facility type | Design occupancy | Number |
|---|---|---|---|
| Male employees | Closet pans | 1 - 20 | 1 |
| >20 | Add 1 per 20 | ||
| Urinals | 1 - 10 | 0 | |
| 11 - 20 | 1 | ||
| 21 - 45 | 2 | ||
| >45 | Add 1 per 30 | ||
| Washbasins | 1 -30 | 1 | |
| >30 | Add 1 per 30 | ||
| Female employees | Closet pans | 1 - 5 | 1 |
| >5 | Add 1 per 15 | ||
| Washbasins | 1 - 30 | 1 | |
| >30 | Add 1 per 30 | ||
| Male students | Closet pans | 1 - 25 | 1 |
| 26 - 75 | 2 | ||
| 76 - 150 | 3 | ||
| 151 - 200 | 4 | ||
| >200 | Add 1 per 100 | ||
| Urinals | 1 - 50 | 1 | |
| 51 - 100 | 2 | ||
| >100 | Add 1 per 100 | ||
| Washbasins | 1 - 10 | 1 | |
| 11 - 50 | 2 | ||
| 51 - 100 | 3 | ||
| >100 | Add 1 per 75 | ||
| Female students | Closet pans | 1 - 10 | 1 |
| 11 - 25 | 2 | ||
| 26 - 100 | Add 1 per 25 | ||
| >100 | Add 1 per 50 | ||
| Washbasins | 1 - 10 | 1 | |
| 11 - 50 | 2 | ||
| 51 - 100 | 3 | ||
| >100 | Add 1 per 75 |
| User group | Facility type | Design occupancy | Number |
|---|---|---|---|
| Children | Closet pans | 1 - 30 | 2 |
| >30 | Add 1 per 15 | ||
| Washbasins | 1 - 30 | 2 | |
| >30 | Add 1 per 15 |
| User group | Facility type | Design occupancy | Number |
|---|---|---|---|
| Children | Closet pans | 1 - 30 | 2 |
| >30 | Add 1 per 15 | ||
| Washbasins | 1 - 30 | 2 | |
| >30 | Add 1 per 15 |
Facilities for use by children must be—
| User group | Facility type | Design occupancy | Number |
|---|---|---|---|
| Male participants | Closet pans | 1 - 20 | 1 |
| >20 | Add 1 per 20 | ||
| Urinals | 1 - 10 | 1 | |
| >10 | Add 1 per 10 | ||
| Washbasins | 1 - 10 | 1 | |
| >10 | Add 1 per 10 | ||
| Female participants | Closet pans | 1 - 10 | 1 |
| >10 | Add 1 per 10 | ||
| Washbasins | 1 - 10 | 1 | |
| >10 | Add 1 per 10 | ||
| Male spectators or patrons | Closet pans | 1 - 250 | 1 |
| 251 - 500 | 2 | ||
| >500 | Add 1 per 500 | ||
| Urinals | 1 - 100 | 1 | |
| >100 | Add 1 per 100 | ||
| Washbasins | 1 - 150 | 1 | |
| >150 | Add 1 per 150 | ||
| Female spectators or patrons | Closet pans | 1 - 10 | 1 |
| 11 - 50 | 2 | ||
| >50 | Add 1 per 60 | ||
| Washbasins | 1 - 80 | 1 | |
| 81 - 250 | 2 | ||
| 251 - 430 | 3 | ||
| >430 | Add 1 per 200 |
| User group | Facility type | Design occupancy | Number |
|---|---|---|---|
| Male patrons | Closet pans | 1 - 50 | 0 |
| 51 - 250 | 1 | ||
| 251 - 500 | 2 | ||
| >500 | Add 1 per 500 | ||
| Urinals | 1 - 50 | 0 | |
| 51 - 100 | 1 | ||
| >100 | Add 1 per 100 | ||
| Washbasins | 1 - 50 | 0 | |
| 51 - 150 | 1 | ||
| >150 | Add 1 per 150 | ||
| Female patrons | Closet pans | 1 - 50 | 0 |
| 51 - 110 | 3 | ||
| 111 - 170 | 4 | ||
| 171 - 230 | 5 | ||
| 231 - 250 | 6 | ||
| >250 | Add 1 per 80 | ||
| Washbasins | 1 - 50 | 0 | |
| 51 - 150 | 1 | ||
| >150 | Add 1 per 150 |
| User group | Facility type | Design occupancy | Number |
|---|---|---|---|
| Male participants | Closet pans | 1 - 20 | 1 |
| >20 | Add 1 per 20 | ||
| Urinals | 1 - 10 | 1 | |
| >10 | Add 1 per 10 | ||
| Washbasins | 1 - 10 | 1 | |
| >10 | Add 1 per 10 | ||
| Female participants | Closet pans | 1 - 10 | 1 |
| >10 | Add 1 per 10 | ||
| Washbasins | 1 - 10 | 1 | |
| >10 | Add 1 per 10 | ||
| Male spectators or patrons | Closet pans | 1 - 250 | 1 |
| 251 - 500 | 2 | ||
| >500 | Add 1 per 500 | ||
| Urinals | 1 - 100 | 1 | |
| >100 | Add 1 per 100 | ||
| Washbasins | 1 - 150 | 1 | |
| >150 | Add 1 per 150 | ||
| Female spectators or patrons | Closet pans | 1 - 15 | 1 |
| 16 - 60 | 2 | ||
| 61 - 120 | 3 | ||
| >120 | Add 1 per 70 | ||
| Washbasins | 1 - 60 | 1 | |
| 61 - 200 | 2 | ||
| 201 - 350 | 3 | ||
| >350 | Add 1 per 150 |
| User group | Facility type | Design occupancy | Number |
|---|---|---|---|
| Male patrons | Closet pans | 1 - 300 | 1 |
| >300 | Add 1 per 500 | ||
| Urinals | 1 - 200 | 1 | |
| >200 | Add 1 per 200 | ||
| Washbasins | 1 - 250 | 1 | |
| >250 | Add 1 per 250 | ||
| Female patrons | Closet pans | 1 - 150 | 1 |
| >150 | Add 1 per 150 | ||
| Washbasins | 1 - 250 | 1 | |
| >250 | Add 1 per 250 |
| User group | Facility type | Design occupancy | Number |
|---|---|---|---|
| Male patrons | Closet pans | 1 - 100 | 1 |
| >100 | Add 1 per 200 | ||
| Urinals | 1 - 50 | 1 | |
| 51 - 100 | 2 | ||
| 101 - 150 | 3 | ||
| 151 - 200 | 4 | ||
| 201 - 250 | 5 | ||
| >250 | Add 1 per 100 | ||
| Washbasins | 1 - 50 | 1 | |
| 51 - 200 | 2 | ||
| >200 | Add 1 per 200 | ||
| Female patrons | Closet pans | 1 - 25 | 1 |
| 26 - 50 | 2 | ||
| 51 - 100 | 3 | ||
| 101 - 150 | 4 | ||
| 151 - 200 | 5 | ||
| 201 - 250 | 6 | ||
| >250 | Add 1 per 100 | ||
| Washbasins | 1 - 50 | 1 | |
| 51 - 150 | 2 | ||
| >150 | Add 1 per 200 |
Sanitary facilities need not be provided for patrons if the total number of persons accommodated in the building is not more than 20.
To specify the minimum acceptable sanitary, bathing, laundry and cooking facilities required in Class 3 buildings (for employees only) and in Class 5-9 buildings.
F4D4 and Tables F4D4a to F4D4l contain the requirements for the type and number of facilities required. They are based on the premise that a higher ratio of sanitary facilities is required in buildings where occupants spend a long time.
Examples
A higher ratio of sanitary facilities is required in a Class 7 or Class 8 workplace (where employees could spend all day) than in a Class 6 department store (where customers could be expected to spend less time).
F4D4(1) requires the separation of male and female toilets. F4D4(3), (4) and (7) provide specific exemptions permitting unisex and combined facilities in some circumstances. Figure F4D4 [RM1] shows an example of a typical layout that meets the requirement for separate facilities under F4D4(1).
Table F4D4: Example of a typical layout for separate facilities
Except in schools and early-childhood centres, separation of facilities for employee and the public is not required (see F4D4(5)). Separation is required in schools to maintain the teacher/student relationship, while in early childhood centres it is required because of the:
Sanitary facilities for females must be provided with a means of disposal of sanitary products (see F4D4(6)). This might include an incinerator, or a bin and disposal service. This provision also applies to unisex or male/female shared facilities permitted by F4D4(3) and (4).
F4D4(7) provides an exemption to (1) for ward areas in a Class 9a building. This allows for unisex facilities for operational requirements such as flexible bed allocations.
For health-care buildings—in addition to Table F4D4e, F4D4(8) requires facilities for preparing meals and laundering to meet the needs of patients and occupants residing in the building.
F4D4(8)(a) therefore requires:
Because of the amount of linen and clothes requiring laundering in these buildings, F4D4(8)(b) requires laundry facilities; or places for the holding and dispatching soiled linen, clothing, and the like; and the receipt and storage of clean linen.
For early childhood centres—F4D4(9)(a) requires a kitchen because young children may require food prepared on the premises, possibly in the form of special diets. The kitchen must comprise:
F4D4(9)(a) requires, if the centre accommodates children younger than 2 years, the kitchen to be designed and constructed to facilitate supervision of children in the centre. In some circumstances, such as in a large early childhood centre, supervision requirements may not be fully achievable. In these situations a Performance Solution may be required. For example, the solution may provide an option to be able to supervise the activities of children younger than 2 years while also engaging in the heating of baby bottles, an option which may not be possible with the main kitchen.
If the building accommodates children younger than 3 years, there may also be a need to carry out washing of nappies and other clothing. F4D4(9)(c)(i) therefore requires the installation of laundry facilities (but not drying facilities) in these buildings comprising:
Other requirements for centres accommodating children younger than 3 years are also prescribed under F4D4(9)(c)(ii) and (iii).
F4D4(9)(c)(ii) requires a bench-type bath to be provided within 1 m of a nappy changing bench.
F4D4(9)(iii) specifies the requirements for a nappy changing bench. The requirements in (A) to (D) require the nappy changing bench to be:
Examples
A Class 6 department store has a total floor area of 2000 m2. From information provided by the proponent for the development, 35 staff will be employed. The sales floor has an area of 1700 m2. Applying F4D3(1) and Table D2D18, the number of customers that could be expected to be accommodated is 567 persons (one customer for each 3 m2 of sales floor area). Applying F4D3(2), an equal 50/50 gender ratio for both staff and customers is used.
The total number of persons accommodated is 602 (567+35). The number of facilities required by Table F4D4c is set out below in example Table F4D4.
| User group | Design occupancy | Number of closet pans | Number of urinals | Number of wash- basins |
| Male employees | 17.5 | 1 | 1 | 1 |
| User group | Design occupancy | Number of closet pans | Number of urinals | Number of wash- basins |
| Female employees | 17.5 | 2 | - | 1 |
| Total employees | 35 | 3 | 1 | 2 |
| Male patrons | 283.5 | 1 | 1 | 1 |
| Female patrons | 283.5 | 1 | - | 1 |
| Total patrons | 567 | 2 | 1 | 2 |
| Overall total | 602 | 5 | 2 | 4 |
Table Notes
The overall total number of closet pans and wash basins can be reduced by one for each sex where a unisex facility for people with a disability is provided (see F4D3(3)). The BCA does not require facilities for staff to be in an area separate from customers. Therefore a single toilet block with separate male and female facilities could be provided (see F4D3(4)) but a separation may be needed under some other regulations, such as workplace or health regulations, so should be checked.
In addition to F4D4, Work Health and Safety legislation may require supplementary facilities. This can include showers and change rooms in some work places, depending on the natureof the work and workingconditions of the employees.
In a building required to be accessible—
To specify the minimum acceptable sanitary and bathing facilities required for people with a disability in Class 1b, Class 2, Class 3, Class 5-9 and Class 10a buildings.
Section D requires equitable and dignified access to buildings and the services they provide. Section D and Part F4 are also intended to apply inclusively to people with a disability (see F4P1). Not only must people with a disability be able to access a building’s sanitary facilities, those facilities must be usable by them.
F4D5(a) and (b) refer to F4D6 and F4D7 respectively to determine the numbers of accessible sanitary facilities, and AS 1428.1 for details of the design of accessible facilities. Facilities such as wash basins, a shelf or bench top and adequate means of disposing of sanitary products must be inside the accessible unisex sanitary compartment and not outside in a public area. F4D5 also requires sanitary compartments suitable for use by a person with an ambulant disability to be provided in certain circumstances, in addition to compartments for use by a person using a wheelchair. Where two or more of each type of unisex accessible sanitary facilities are provided in a building, the number of left and right handed mirror image facilities must be provided as evenly as possible. This is required because some people transfer from their wheelchairs from the right hand side and some from the left.
F4D6 provides minimum requirements for the provision of accessible unisex sanitary compartments, commonly referred to as unisex accessible toilets. Unisex accessible sanitary compartments are required on each storey where sanitary compartments are provided. If the male or female compartments are located separately and not in a single bank then the accessible unisex sanitary compartment is only required at one of those banks. However, clear directional information about the location of the closest accessible unisex sanitary compartment must be provided. If there are multiple banks containing male and femalesanitary compartments on a storey, there must be an accessible unisex sanitary compartment at not less than 50% of those banks.
F4D7 provides minimum requirements for the provision of accessible unisex shower facilities in buildings where showers are required (by the NCC) to be provided.
F4D5(e) requires that facilities be constructed in accordance with AS1428.1. It is important to note that AS1428.1 contains provisions for both wheelchair accessible facilities and those for people with an ambulant disability. These provisions include:
A sanitary compartment that is suitable for a person with an ambulant disability is not intended for use by a person using a wheelchair. Therefore an accessible path of travel need not be provided to such a compartment.
To specify the minimum acceptable sanitary and bathing facilities required for people with a disability in Class 1b, Class 2, Class 3, Class 5-9 and Class 10a buildings.
Section D requires equitable and dignified access to buildings and the services they provide. Section D and Part F4 are also intended to apply inclusively to people with a disability (see F4P1). Not only must people with a disability be able to access a building’s sanitary facilities, those facilities must be usable by them.
F4D5(a) and (b) refer to F4D6 and F4D7 respectively to determine the numbers of accessible sanitary facilities, and AS 1428.1 for details of the design of accessible facilities. Facilities such as wash basins, a shelf or bench top and adequate means of disposing of sanitary products must be inside the accessible unisex sanitary compartment and not outside in a public area. F4D5 also requires sanitary compartments suitable for use by a person with an ambulant disability to be provided in certain circumstances, in addition to compartments for use by a person using a wheelchair. Where two or more of each type of unisex accessible sanitary facilities are provided in a building, the number of left and right handed mirror image facilities must be provided as evenly as possible. This is required because some people transfer from their wheelchairs from the right hand side and some from the left.
F4D6 provides minimum requirements for the provision of accessible unisex sanitary compartments, commonly referred to as unisex accessible toilets. Unisex accessible sanitary compartments are required on each storey where sanitary compartments are provided. If the male or female compartments are located separately and not in a single bank then the accessible unisex sanitary compartment is only required at one of those banks. However, clear directional information about the location of the closest accessible unisex sanitary compartment must be provided. If there are multiple banks containing male and femalesanitary compartments on a storey, there must be an accessible unisex sanitary compartment at not less than 50% of those banks.
F4D7 provides minimum requirements for the provision of accessible unisex shower facilities in buildings where showers are required (by the NCC) to be provided.
F4D5(e) requires that facilities be constructed in accordance with AS1428.1. It is important to note that AS1428.1 contains provisions for both wheelchair accessible facilities and those for people with an ambulant disability. These provisions include:
A sanitary compartment that is suitable for a person with an ambulant disability is not intended for use by a person using a wheelchair. Therefore an accessible path of travel need not be provided to such a compartment.
To specify the minimum acceptable sanitary and bathing facilities required for people with a disability in Class 1b, Class 2, Class 3, Class 5-9 and Class 10a buildings.
Section D requires equitable and dignified access to buildings and the services they provide. Section D and Part F4 are also intended to apply inclusively to people with a disability (see F4P1). Not only must people with a disability be able to access a building’s sanitary facilities, those facilities must be usable by them.
F4D5(a) and (b) refer to F4D6 and F4D7 respectively to determine the numbers of accessible sanitary facilities, and AS 1428.1 for details of the design of accessible facilities. Facilities such as wash basins, a shelf or bench top and adequate means of disposing of sanitary products must be inside the accessible unisex sanitary compartment and not outside in a public area. F4D5 also requires sanitary compartments suitable for use by a person with an ambulant disability to be provided in certain circumstances, in addition to compartments for use by a person using a wheelchair. Where two or more of each type of unisex accessible sanitary facilities are provided in a building, the number of left and right handed mirror image facilities must be provided as evenly as possible. This is required because some people transfer from their wheelchairs from the right hand side and some from the left.
F4D6 provides minimum requirements for the provision of accessible unisex sanitary compartments, commonly referred to as unisex accessible toilets. Unisex accessible sanitary compartments are required on each storey where sanitary compartments are provided. If the male or female compartments are located separately and not in a single bank then the accessible unisex sanitary compartment is only required at one of those banks. However, clear directional information about the location of the closest accessible unisex sanitary compartment must be provided. If there are multiple banks containing male and femalesanitary compartments on a storey, there must be an accessible unisex sanitary compartment at not less than 50% of those banks.
F4D7 provides minimum requirements for the provision of accessible unisex shower facilities in buildings where showers are required (by the NCC) to be provided.
F4D5(e) requires that facilities be constructed in accordance with AS1428.1. It is important to note that AS1428.1 contains provisions for both wheelchair accessible facilities and those for people with an ambulant disability. These provisions include:
A sanitary compartment that is suitable for a person with an ambulant disability is not intended for use by a person using a wheelchair. Therefore an accessible path of travel need not be provided to such a compartment.
To specify the construction expected to provide an acceptable level of privacy in sanitary compartments while facilitating assistance in an emergency.
Privacy in sanitary compartments is considered an amenity issue. There is a high level of privacy expected in unisex compartments while there are lower levels expected in early-childhood centres and facilities used by primary school children. There is also an intermediate level expected between sanitary compartments in single-sex sanitary facilities.
F4D8 permits sanitary compartments in early childhood centres to be constructed without doors because it is necessary for staff to keep the children under regular observation. Under F4D8(1)(b), a concession is also provided on the height of partitions for facilities used by primary school children. These concessions in F4D8 should not be applied to staff facilities.
F4D8(2) requires means of removing an unconscious occupant from a fully enclosed sanitary compartment. If the enclosure has gaps that are large enough to allow access for a person into the sanitary compartment, the compartment is not intended to be considered enclosed for the purposes of this clause.
The exception to F4D8(2) is where there is a clear space of at least 1.2 m between the closet pan and the doorway, as measured in accordance with Figure F4D8 in the BCA.
Requirements for partitions between sanitary compartments for early-childhood centres is covered by F4D8(3). A partition must be opaque for a height of at least 900 mm but not more than 1200 mm, above the floor level, while the section above the partition may be open or clear glazed.
Information
To clarify what is meant by the expressions ‘urinal’ and ‘washbasin’.
Urinals and hand-washing facilities are often not constructed as single units, but as a length of trough. F4D9(1) and (2) clarify that the words ‘urinal’ and ‘washbasin’ apply to individual facilities, or to a length of trough, in the case of a urinal; and a specific part of a hand-washing trough. The number of hand-washing facilities (washbasins) provided by a trough is determined be the number of water spouts serving the trough.
F4D9(1)(c) allows a closet pan (also called a ‘toilet pan’ or ‘closet fixture’) to be used in place of a urinal. Such a closet pan must be additional to the required number of closet pans, and so must not be counted once as a urinal and once as a pan when calculating the total number of facilities.
Hot water, warm water and cooling water systems in a building other than a system serving only a single sole-occupancy unit in a Class 2 or 3 building or Class 4 part of a building must be installed in accordance with AS/NZS 3666.1.
To make sure that hot water, warm water and cooling water systems in certain facilities minimise the risk of a major disease outbreak.
Legionella and other dangerous bacteria may multiply in hot water, warm water and cooling water systems to numbers that can cause serious outbreaks. AS/NZS 3666.1, referenced by F4D10, contains measures for designing, installing and commissioning hot water, warm water and cooling water systems, aimed at minimising the risk of a major disease outbreak.
This provision applies to all buildings except systems that only serve a single sole-occupancy unit in Class 2 or 3 building or Class 4 part. This limitation is consistent with the intent of AS/NZS 3666.1 and the limitation of F4P6.
To require adequate devices in Class 9a and 9c buildings containing ward areas or bedrooms for the emptying of containers of sewage and dirty water.
Class 9a buildings, such as hospitals and nursing homes, are likely to be occupied by people who can only carry out their toilet and bathing functions in commode chairs or into containers. To minimise disease, F4D11(1) requires slop-hoppers. These are special fixtures with a grate, flushing apparatus and tap which are used for emptying bedpans and the like.
Aged care buildings are likely to be occupied by people with similar difficulties to those occupying Class 9a buildings. To minimise disease, F4D11(2) requires the installation of slop-hoppers and appliances for either disinfecting pans or an adequate means for disposal of receptacles in Class 9c buildings. If one device can undertake all tasks required by F4D11(2), then it may be utilised.
To provide for the installation of accessible adult change facilities in certain types of public building.
An accessible adult change facility is a type of sanitary compartment that includes a hoist and adult size change table in addition to a peninsula-type toilet pan and other fixtures and fittings. Its purpose is to provide a suitable toilet for people with more complex or profound disability who may be unable to use standard accessible toilets of the type required by F4D5 and F4D6.
F4D12(2)(a) requires each accessible adult change facility to be constructed in accordance with Specification 27, which sets out the technical requirements for these facilities.
F4D12(1)(b) ensures that accessible adult change facilities are provided separately and in addition to any other sanitary compartment. Therefore, they cannot be counted when determining compliance with F4D4, F4D5 or F4D6.
F4D12(2) sets out the types of public building where an accessible adult change facility must be provided. F4D12(1)(a), (b)(i), (c) and (d) are based on design occupancy which must be calculated in accordance with F4D12(3).
F4D12(1)(b)(ii) ensures that where a swimming pool in a Class 9b building is required to be accessible, it is provided with an accessible adult change facility.
F4D12(1)(e) ensures that accessible adult change facilities are provided in terminal buildings at airports. This provision only applies to airports that are also required to comply with the Disability Standards for Accessible Public Transport 2002.
F4D12(3) outlines how design occupancy must be calculated, and provides for certain areas to be excluded from such a calculation. The purpose of the exclusions is to ensure that buildings are assessed only on the basis of areas likely to be used by people with disability, thus ensuring consistent application of F4D12 between different building layouts and sizes.
| Spectator capacity | Number of first aid rooms |
|---|---|
| 5,001 to 10,000 | 1 |
| 10,001 to 15,000 | 2 |
| 15,001 to 30,000 | 3 |
| Each extra 15,000 or part thereof | 1 |
Non-flushed urinals not connected to a sewerage system must comply with TAS F4D14.
NCC Volume Three contains a number of plumbing and drainage provisions which are relevant to facilities. These include, but are not limited to, those listed in Table F4.
| Item | NCC Volume Three - Plumbing Code of Australia |
|---|---|
| Access for maintenance of plumbing and drainage | B1 Cold water services |
| B2 Heated water services | |
| B3 Non-drinking water services | |
| C1 Sanitary plumbing systems | |
| C2 Sanitary drainage systems | |
| C3 On-site wastewater management | |
| Heated water temperature control for facilities used for personal hygiene | B2 Heated water services |